Oleh: Tim Football Academy I.League
SEPAK bola merupakan permainan invasi. Tim yang menguasai bola berusaha menginvasi teritori lawannya untuk mendekatkan bola ke gawang dan meningkatkan peluang untuk mencetak gol, sementara tim yang tidak menguasai bola berusaha menjaga teritorinya agar tidak diinvasi oleh lawan. Salah satu cara untuk menginvasi teritori lawan adalah dengan melakukan progresi melalui passing.
Tidak semua passing yang bergerak ke depan memiliki nilai yang sama. Misal, passing ke belakang lini, tentu lebih bernilai dibanding passing ke ruang antar lini. Begitu pula dengan passing yang dilakukan dari koridor luar menuju koridor sentral, memiliki nilai yang lebih berharga dibanding passing dengan arah sebaliknya. Hal ini dikarenakan bola bergerak menuju ke titik yang lebih dekat dengan bola.
Apa itu passing progresif?
Passing progresif adalah passing yang menggerakkan bola mendekat ke arah gawang dengan perpindahan yang cukup signifikan. Seberapa signifikan perpindahan ini bisa diukur melalui persentase perpindahan bola. Untuk mengetahui berapa persentase perpindahan minimum sebuah passing untuk dianggap progresif, pertama kita perlu tahu nilai dari perpindahan bola.

Dalam sebuah passing terdapat dua atribut lokasi, yaitu lokasi awal (x1, y1) dan lokasi akhir atau lokasi penerima (x2, y2). Titik x merupakan titik berdasarkan panjang lapangan, sedangkan titik y merupakan titik berdasarkan lebar lapangan.
Berdasarkan atribut lokasi ini, jarak bola terhadap gawang lawan sebelum dan sesudah dipassing bisa diukur melalui konsep pitagoras sederhana:

Persentase perpindahan kemudian bisa didapat dari perbandingan sederhana antara besar jarak perpindahan terhadap jarak bola ke gawang sebelum terjadinya passing:
persentase perpindahan = perpindahana 100%
Berdasarkan nilai persentase perpindahan tersebut, maka passing dengan persentase perpindahan di bawah 0% dianggap sebagai passing yang menjauhkan bola dari gawang. Passing dengan nilai tersebut kemudian dikeluarkan dari data. Histogram dari passing yang persentase perpindahannya sama atau lebih besar dari 0% bisa dilihat pada diagram di bawah ini.

Nilai tengah (median) dari semua passing yang menggerakkan bola mendekat ke gawang lawan adalah 20%. Nilai ini yang kemudian digunakan sebagai definisi dari passing progresif, yaitu passing yang menggerakkan bola setidaknya 20% lebih dekat dengan gawang lawan. Definisi ini cukup relevan, mengingat semakin dekat ke gawang lawan, menggerakkan bola 20% lebih dekat dengan gawang lawan tentu lebih sulit.
Penggolongan passing progresif
Menggolongkan passing progresif bisa dilakukan dengan cara clustering. Salah satu clustering yang cukup populer digunakan adalah K-means clustering, di mana penggolongan data dilakukan berdasarkan jarak euklidian terhadap centroid.
Atribut yang digunakan untuk melakukan clustering passing progresif adalah lokasi awal (x1, y1) dan nilai xT (Expected Threat) dari masing-masing passing. Nilai xT digunakan karena merepresentasikan perubahan lokasi ke area yang lebih berbahaya. Sedangkan lokasi passing yang digunakan hanya lokasi awal, karena penggolongan yang dilakukan bertujuan untuk mengetahui lokasi bermulanya passing progresif. Penggunaan lokasi akhir (x2, y2) akan menyebabkan penyempitan kelompok data yang tidak relevan.
Sebelum melakukan clustering, pertama yang harus ditentukan adalah berapa banyak kelompok data yang bisa dipisahkan. Semakin sedikit kelompok data yang digunakan, semakin besar cakupan datanya, namun detail perbedaan masing-masing data menjadi lebih sedikit. Sementara itu jika jumlah kelompoknya lebih besar, detail perbedaan data menjadi lebih besar namun cakupannya jadi lebih sedikit.
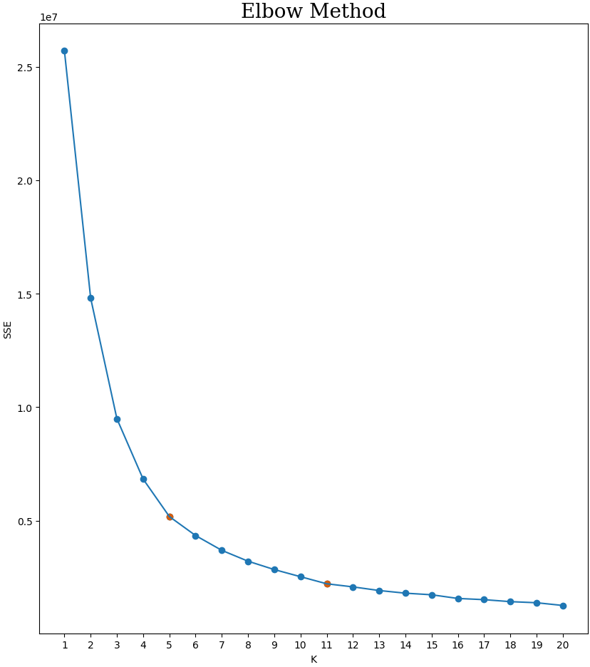
Salah satu metode yang bisa digunakan untuk menentukan berapa jumlah kelompok adalah metode Elbow, di mana nilai perbedaan masing-masing kelompok diplot dalam satu grafik untuk dilihat titik mana yang terjadi pelandaian perbedaan.

Berdasarkan metode ini, didapatkan dua nilai yang menunjukkan terjadinya pelandaian perbedaan, yaitu 5 dan 11. Nilai 11 akhirnya dipilih karena cukup merepresentasikan jumlah pemain dalam satu tim di atas lapangan. Berikut ini adalah 11 klaster sumber lokasi passing progresif dan nilai xT tiap 100 passing progresif dari area masing-masing.

Dari diagram di atas, area samping di sisi kiri dan kanan dekat kotak penalti lawan menjadi lokasi yang mampu menghasilkan nilai xT tertinggi (5.02 & 4.79) tiap 100 passing. Nilai ini jauh lebih tinggi ketimbang lokasi di area sentral di antara garis tengah dan kotak penalti yang hanya menghasilkan 1.62 ancaman tiap 100 passing. Hal ini juga tercermin dari diagram di bawah ini, di mana masing-masing klub cenderung menghasilkan xT lebih tinggi dari kedua area tersebut.

Bukankah koridor sentral merupakan area yang lebih berbahaya ketimbang area samping? Apakah hal ini berarti tim-tim di BRI Super League tidak cukup kreatif bermain melalui area sentral? Sebelum kita mengambil kesimpulan, mari kita lihat seperti apa kecenderungan cara bertahan di liga terkait lokasi aksi bertahan.

Grafik di atas menunjukkan bahwa secara keseluruhan, 56% aksi bertahan terjadi tepat satu garis di atas setengah lingkaran di depan kotak penalti mereka sendiri, hingga beberapa meter di depan lingkaran tengah. Hal ini menunjukkan bahwa terdapat kecenderungan untuk menerapkan garis pertahanan medium hingga rendah. Menghadapi tipe pertahanan seperti ini, tentu saja bermain melalui area tengah adalah hal yang sangat sulit. Tim yang bertahan akan mempersempit ruang antar lini dan mencegah lawan dengan mudah melakukan invasi ke area yang berbahaya tersebut.
Jika bermain melalui area sentral sulit, lalu area mana yang lebih mudah untuk menciptakan peluang? Yup, area samping. Tren ini tampaknya tidak banyak berubah dibanding musim kompetisi sebelumnya.
Lokasi favorit masing-masing klub
Area samping memang menjadi lokasi paling potensial dalam menciptakan peluang, namun lokasi mana yang cenderung digunakan masing-masing klub dalam melakukan progresi? Berikut ini adalah diagram yang menunjukkan dua lokasi yang paling banyak digunakan masing-masing tim dalam melakukan passing progresif.

Dari diagram di atas terlihat area di antara garis tengah dan kotak penalti di koridor sentral tidak banyak dimanfaatkan. Hal ini cukup wajar mengingat kecenderungan tim-tim yang menerapkan garis pertahanan medium-rendah. Namun bukan berarti mendekati area sentral adalah hal yang mustahil. Dewa United Banten FC, PSIM Yogyakarta, Persib Bandung, PSBS Biak, Borneo FC Samarinda, Persija Jakarta, PSM Makassar, Arema FC, Persijap Jepara, Malut United FC dan Bhayangkara Presisi Lampung FC cukup bisa memanfaatkan area half-space di balik garis tengah.
Persita dan Arema menjadi dua tim yang cukup unik, karena salah satu dari dua sumber passing progresif terbanyak mereka justru berawal dari zona di dalam kotak penalti. Terdapat banyak faktor yang mempengaruhi hal ini, pengamatan spesifik melalui video pertandingan dapat memberikan gambaran yang lebih akurat.
Hal unik lainnya, Madura United FC, PSIM Yogyakarta, PSM Makassar, dan Malut United FC ternyata sangat dominan di salah satu sisi, yaitu sebelah kiri. Begitu pula dengan Semen Padang FC yang juga sangat dominan di salah satu sisi saja namun di sisi sebaliknya.
Secara umum terdapat 11 klaster sumber passing progresif. Menghadapi garis pertahanan yang cenderung medium-rendah, area sayap baik itu di kiri maupun kanan dekat kotak penalti lawan menjadi dua area yang paling potensial dalam menciptakan peluang.